
1.如何計算篩分效率?
篩分效率是篩子工作質量的一個指標。它表示篩分作業進行的程度和篩分產品的質量。篩分效率通常用篩分時所得到的篩下產物的重量與原物料中所含小于篩孔尺寸的粒級的重量之比并用百分比來表示,即:

2.什么是部分篩分效率?怎樣計算?
部分篩分效率就是篩下產品中其一級別粒子的重量與原物料中同一級別的粒子的重量之比的百分比。部分篩分效率可按此式計算:

部分篩分效傘與總篩分效率關系甚大,細粒級的篩分效率總是大于總篩分效率的,從級別愈細,部分篩分效率愈高,“難篩顆粒”的部分篩分效率恒小于總篩分效率,并且“難篩顆粒”尺寸愈接近篩孔尺寸,其部分篩分效率愈低。
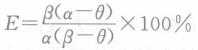
3.什么叫“等值篩分”?它有什么意義?
篩分過程是不平衡的,“難篩顆粒”通過篩孔慢,細粒通過篩孔快,由于這種不平衡,就可以利用加大篩孔尺寸降低篩分效率的辦法來提高篩子的生產率。例如,短頭圓錐破碎機和篩子構成閉路破碎中硬礦石時,破碎機固定排礦口10mm、檢查篩分合兩種不同的工作制度;①篩孔為10mm,總篩分效率為85%;②篩孔為12mm,總篩分效率為65%。實際上這兩種工作條件所得到的篩下產物有著等值的比表面,即相同的平均粒度(見表2-1),也就是說,篩下產物對磨礦而言是“等值”的,也叫“等值篩分”。

由表2-1可知,在第二種工作制度下,篩下產物中大于10mm級別不多,而2.5-0mm的細粒級含量卻比第一種工作制度有所增加。出于提高了細粒級含量,篩下產物的平均比表面比第一種工作制度增加了3%。
磨礦機的生產能力在篩子的兩種工作制度下將是一樣的,甚至在第二種上作制度下還有增加。所以這兩種工作制度下篩分產物的質量是等值的。但在第二種工作制度下,由于篩孔的加大、總篩分效率的降低,篩子的生產能力將大大提高。因此,可以減少篩子的安裝臺數。所以,一般檢查篩分的篩孔尺寸總是比磨礦機給礦最大粒度上限大20%-30%,而將總篩分效率降至60%-65%。
4.篩分機械有哪兒種?各種篩分機械的工作原理及用途如何?
根據篩分機械的結構及工作原理大致有以下幾類。
(1)固定篩:工作部分固定不動,靠物料沿工作面滑動而使物料得到篩分。固定格篩是在選礦廠應用較多的一種,一般用于粗碎或中碎之前的預先篩分。它結構簡單、制造方便、不耗動力,并且可以直接把礦石卸到篩面上。主要缺點是生產率低、篩分效率低(一般只有50%-60%)。
(2)滾軸篩:工作面是由橫向排列的一根根滾動軸構成的,軸上有盤子,細粒物料就從滾軸或盤子間的縫隙通過。大塊物料由滾軸帶動向一端移功并從末端排出。選礦廠一般很少用這種篩子。
(3)滾筒篩:工作面為帶孔的圓柱形筒體或截頭圓錐形筒體。在傳動裝置帶動下,篩筒繞軸緩慢回轉,為使物料在筒內沿軸線方向前進,圓柱形篩筒的軸線應傾斜3°-5°安裝,截頭圓錐形篩筒因本身已有坡度,所以其軸線可水平安裝。
物料由篩筒的一端給入,被旋轉的筒體帶起,當到達一定高度后,因受重力作用,自行落下。如此不斷起落運動,使小于篩孔尺寸的顆粒透篩,而篩上物則逐漸移至篩筒的另一端排出。
滾筒篩因單位面積處理能力低、篩孔易堵塞、篩分效率低,所以,目前只有少數選煤廠在粗、中粒物料的篩分和脫水中使用。
(4)搖動篩:其工作部件是一具帶有平面篩面的矩形篩箱。篩箱由鉸接桿或彈性桿支撐(或吊掛)在機架上,通過偏心傳動裝置帶動作往復擺動。為使物料沿篩面向前運動,篩面多為傾斜安裝。在篩箱往復擺動的作用下,物料在篩面I不斷地跳起和諧下,并逐漸向低端移動,在運動過程中完成物料的分級。
搖動篩的優點是篩箱搖動的幅度(沖程)不因給料量的多少而變化。缺點是篩分效率和處理能力較低。現在選礦廠很少用它,而被結構更合理的振動篩取代。
(5)振動篩:振動篩是目前許多工業部門最廣泛應用的篩分機。振動篩和搖動篩一樣具有帶平面篩面的矩形篩箱,但篩箱用彈性元件支撐(或吊掛)在機架上并用激振器進行激振,因而它是一個彈性振動系統,其振幅受給料及其他動力學因素的影響,可以改變。振動篩的振功頻率高、振幅小、物料在篩面上作跳躍運動,因而處理能力和篩分效率都較高。粗、中、細的物料的篩分都可用,篩孔大至100mm,小至0.25-0.5mm或更細些。另外,還可用于脫水、脫泥和脫介作業。
(6)其他新型篩分機:隨著生產的發展和科學技術的進步,近年來國內外又山現了許多新型篩分機。在選礦廠使用的主要有:振動慨率篩、旋轉概率篩、等厚篩、概率等厚篩、弛張篩、立式圓筒離心篩、螺旋篩及變幅篩等。在這些篩分機中,除了振動概率篩、等厚篩和概率等厚篩,從運動特征上看是屬于振動篩的新機種外,所有篩分機都具有新的結構和工作原理。